产品中心

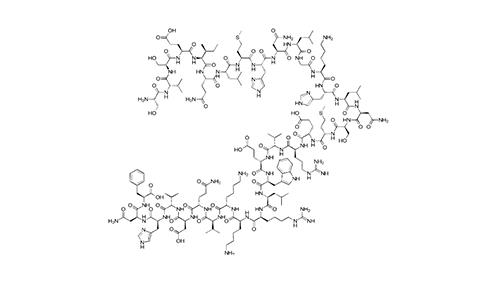
特立帕肽

英文品名:Teriparatide
适应症:骨质疏松症
CAS No.:52232-67-4
分子式:C181H291N55O51S2
  • 所属分类 :
    其他类
  • 浏览次数 : ...
  • 发布时间 : 2025-05-26
  • 详细介绍
本文网址 : https://rltbio.cn/product/258.html
标签 :

Copyright © 润辉生物技术(威海)有限公司   免责声明:在浏览本网站前,请您务必阅读并理解本声明。部分图片和文字源自网络,如有侵权,请联系删除。   网站建设:恒汇科技

在线客服

在线客服

您好,我这边是在线客服

X